Age
Age at the last birthday preceding divorce.
Applicant, respondent and joint applications
In the Divorce Act of 1985, the applicant is the spouse who applied for a divorce. The applicant's spouse is the respondent. It is also possible for both spouses to collaborate in the submission of a joint application; they are then joint applicants.
Previously, in the Divorce Act of 1968, the petitioner was the person (husband or wife) who petitioned Parliament for a divorce. The petitioner's spouse was the respondent. Joint applications were not possible.
Central Registry of Divorce Proceedings (CRDP)
The source of vital statistics on divorces in Canada. The CRDP was established within the Department of Justice Canada pursuant to the Divorce Act of 1968. It is responsible for recording divorce proceedings in all provinces and territories and has been created mainly to eliminate duplicate divorce proceedings.
People seeking a divorce from their spouse must first complete a divorce application and file it with a court. The content of this application varies across provinces and territories. Prior to 1986, the application had to be completed by only one of the spouses. Since 1986, it can be completed jointly by both spouses.
Based on the information contained in the application, the registrar of the court then fills a standard form and sends it to the CRDP. The CRDP ensures that no other divorce proceedings have been initiated for the same marriage elsewhere in the country. If no duplicate proceeding is found, the CRDP informs the court that the proceeding is valid. Finally, once the proceeding is complete, the court informs the CRDP of its disposition.
The information that the CRDP is legally mandated to collect from the court registrars has changed over time. Currently, the main statistical data items included in the CRDP database are:
- Court where the divorce was registered
- Date the divorce application was filed
- Applicant (or joint applicants) for divorce
- Date of birth
- Sex
- Date of marriage
- Date the divorce was granted.
Formerly (before 2013), the CRDP also collected information on:
- Legal marital status at the time of marriage
- Date of separation
- Reasons for marriage breakdown
- Number of dependents
- Child custody orders.
All information about the latter topics held by the CRDP for divorces granted before 2013 was purged by the Department of Justice. The information held at Statistics Canada has been archived.
Date of divorce
The date of divorce is the date (day, month and year) at which the divorce is granted, that is, the date it becomes effective. There is sometimes a one-month delay between the date of the court decision and the date the divorce is granted.
Divorce
Divorce is the legal dissolution of a legal marriage. Included are all divorces granted by Canadian courts to Canadian and non-Canadian residents whether their marriage was registered in Canada or another country. In general, when applying for a divorce, the applicant must reside in Canada, but the respondent may reside outside Canada. Both spouses may reside outside Canada when the divorce is later granted by the court. Divorces of Canadian residents that have been granted in another country (where their spouse resides) are not included.
Divorce rates:
Crude divorce rate
The number of divorces per 1,000 population.
Divorce rate
The number of persons who divorce during a given year per 1,000 married persons (including those that are separated but still legally married) as of July 1 of the same year. Also called the "refined divorce rate" or the "marital divorce rate". It can be computed for all persons together or separately for each sex or gender.
Age-specific divorce rate
The number of persons who divorce in a particular age group during a given year per 1,000 married persons (including those that are separated but still legally married) in the same age group as of July 1 of the same year. It can be computed for all persons together or separately for each sex or gender. The age groups used are five-year age groups starting at age 15 with a last open age group at 65 years and over (15-19, 20-24, 25-29…, 60-64, 65+).
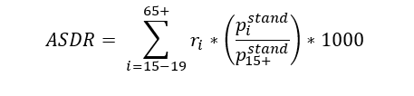
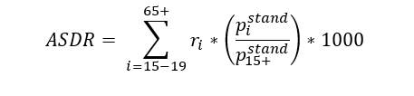
Age-standardized divorce rate
Age standardization removes the effects of differences in the age structure of populations across areas and over time. Age-standardized divorce rates show the number of divorcing persons who would have been observed in a given area and time per 1,000 married persons if the age structure of the population of that area and time had been the same as the age structure of a specified standard population. An estimate of the legally married Canadian population as of July 1, 1991 (sexes combined), is used as the standard population. The age-standardized divorce rate can be computed for all persons together or separately for each sex or gender, but always using the same standard population.
The formula for the age-standardized divorce rate (ASDR) for 1,000 married persons is:

Description Figure 1 - The formula for the age-standardized divorce rate (ASDR) for 1,000 married persons
where:
- is a five-year age group from 15-19 years to 65 years and over
- is the age-specific divorce rate for age group i in a given area and time
- is the number of persons of age i in the standard population
- is the number of persons aged 15 and over in the standard population.
Duration-specific divorce rate
The divorce rate in a given year for a specific marriage cohort. For example, the 2008 divorce rate for persons married in 2004 (that is the 2004 marriage cohort) is calculated by dividing the number of 2008 divorces granted to persons married in 2004 by the number of marriages performed in 2004. When multiplied by 1,000, the result is expressed as the number of 2008 divorces per 1,000 marriages from 2004. This rate incorporates a bias of unknown magnitude due to the death of some spouses during the period as well as migration, that is, persons moving from one province or territory to another, or to or from Canada.
Total divorce rate (TDR)
The sum of duration-specific divorce rates. Two TDRs are presented. They are distinguished by whether the summation is calculated on the basis of a 30-year (TDR30) or 50-year (TDR50) period. This measure is expressed as the proportion of married couples who are expected to divorce before their 30th or 50th anniversary, respectively, given the duration–specific divorce rates for a given year. For example, the 2004 TDR50 for Canada was 413 per 1,000 marriages. It indicates that 41.3% of marriages registered in Canada in 2004 are expected to end in divorce before the 50th anniversary if the conditions observed in 2004 remain stable for at least 50 years. This indicator incorporates the same bias as the duration-specific divorce rates due to mortality and migration.
Duration of the divorce proceeding
Amount of time (in months) between the date (day, month and year) the divorce application was filed with the court and the date of divorce.
Duration of marriage
The duration of marriage is the amount of time elapsed (in years) between the date (day, month and year) of marriage and the date of divorce.
Marriage
Prior to 2003, marriage was defined as the legal conjugal union of two persons of the opposite sex. Beginning in 2003, the definition of marriage has been changed in some provinces and territories to include the legal conjugal union of two persons of the same sex. On July 20, 2005, the Civil Marriage Act came into force and extended the access to civil marriage to same-sex couples everywhere in Canada. Common-law relationships are excluded.
Marriage data are presented by place of occurrence, that is, the province or territory where the marriage took place. Information on marriages is collected by the vital statistics registrars of provinces and territories who then transmit it to Statistics Canada.
The number of marriages is used as the denominator of duration-specific divorce rates.
Mean age at divorce (or marriage)
The mean (average) age at divorce (or marriage) is calculated using the exact age of divorced individuals on the date their divorce is granted (or the date of their marriage).
Median age at divorce (or marriage)
The median is a measure of central tendency. It is the middle value in a set of ordered numbers (for example, women's exact ages at divorce, ranked from youngest to oldest). In the case of an even number of observations, the median is the average of the two middle values.
Population
Persons whose usual place of residence is somewhere in Canada, including Canadian government employees stationed abroad and their families, members of the Canadian Forces stationed abroad and their families, crews of Canadian merchant vessels, and non-permanent residents of Canada (i.e., claimants of the refugee status and holders of a study or work permit, as well as their families). Population estimates are based on census counts but are adjusted for census net undercoverage and incompletely enumerated Indian reserves. Is also added an estimate of the population growth for the period from Census day to the date of the estimate.
Mid-year (July 1) population estimates are used to calculate rates in vital statistics publications. Population estimates are frequently revised by Statistics Canada's Centre for Demography. Estimates used are the most recently available at the time of release.
Provinces and territories
Divorces are classified by province or territory of the court in which the divorce proceeding was registered. This generally corresponds to the place of residence of at least one spouse upon applying for the divorce, but spouses may reside outside that province or territory (including outside Canada) when the divorce is later granted by the court.
Nunavut officially became a territory of Canada on April 1, 1999. There was, however, no divorce court established in Nunavut until 2000. The geographic boundaries of the Northwest Territories differ before and after April 1, 1999.
Sex
The original form used by the CRDP to collect information from court registrars recorded sex only indirectly by having a section about the "husband" and another about the "wife". Following the legalization of same-sex marriages in 2005, the form was updated by replacing the terms husband and wife with sex check boxes for each spouse with the options "male" or "female".
Since March 1, 2021, the CRDP collects information on each spouse's gender as of the day before the day of the marriage with three options: "male", "female" and "another gender". Gender, rather than sex, will be used for divorce statistics as of 2021.